© 2022, Elbayiyev et al.
Received Day: 13 Month: 07 Year: 2022
Accepted Day: 13 Month: 10 Year: 2022
J Neonatal Surg. 2022; 11: 32.
DOI: 10.47338/jns.v11.1107
Prognostic value of the oxygenation index to predict survival in infants with congenital diaphragmatic hernia
Sarkhan Elbayiyev Health Sciences University, Ankara City Hospital, Neonatal Intensive Care Unit, Ankara, Turkey
Gülsüm Kadıoğlu Şimşek Health Sciences University, Ankara City Hospital, Neonatal Intensive Care Unit, Ankara, Turkey
Esra Beşer Health Sciences University, Ankara City Hospital, Neonatal Intensive Care Unit, Ankara, Turkey
Bengü Karaçağlar Health Sciences University, Ankara City Hospital, Neonatal Intensive Care Unit, Ankara, Turkey
Hayriye Gözde Kanmaz Kutman Health Sciences University, Ankara City Hospital, Neonatal Intensive Care Unit, Ankara, Turkey
Fuat Emre Canpolat Health Sciences University, Ankara City Hospital, Neonatal Intensive Care Unit, Ankara, Turkey
[corresp] Sarkhan Elbayiyev, MD, Health Sciences University, Ankara City Hospital, Neonatal Intensive Care Unit, Ankara, Turkey E-mail: serxanelbayiyev@gmail.com
Abstract

Background: Congenital Diaphragmatic Hernia (CDH) is associated with significant morbidity and mortality. We aimed to investigate the relationship between survival and oxygenation index calculated in the first 12 hours of life in neonates with CDH.

Methods: Various scoring systems have been developed to predict and determine the course of the disease in this disease group with a high mortality rate. In our study, we planned to investigate the use of APGAR scores, Neonatal acute physiological perinatal spread score-II, and oxygenation index in predicting survival. Patients born in Ankara City Hospital between March 2019 and November 2021 and followed up due to congenital diaphragmatic hernia were included in the study. Preductal oxygen saturation (sPO2) was manipulated to be 80-95% and postductal >70%. Target PaCO2 values were set to be 50-70 mmHg. Oxygenation index scores were calculated using the formula mean airway pressure (MAP) (cmH2O) x fraction of inspired oxygen (FiO2) (%) / partial pressure of arterial oxygen (PaO2) (mmHg).

Results: The 5th-minute APGAR scores of the patients with the congenital diaphragmatic hernia in our study were lower in the non-survivors group than the survivors group (p=0.010). SNAPPE-II and OI scores were statistically significantly higher in the nonsurvivors group (p=0.003 and p=0.002).

Conclusion: The oxygenation index was determined to be an independent predictive parameter in mortality (OR: 4.519 CI: 1.301-654.645, p=0.034). The results of our study show that the oxygenation index is a reliable parameter in predicting survival.

Keywords: Congenital diaphragmatic hernia, Newborn, Mortality, Oxygenation Index, Pulmonary hypertension, Extracorporeal membrane oxygenation.

Introduction

Congenital diaphragmatic hernia (CDH) remains a condition with high mortality and morbidity, despite of advances in supportive therapies such as fetal endoscopic tracheal occlusion (FETO), high-frequency oscillatory ventilation (HFOV), inhaled nitric oxide (iNO), and extracorporeal membrane oxygenation (ECMO). On average, 80-95% of CDH cases are posterolateral (Bochdalek) and approximately 9% are anteromedial (Morgagni). [1] The prevalence of CDH is approximately 1 in 2500-3000 live births. [2] Mortality is directly related to the degree of pulmonary hypoplasia and associated secondary hypertension, and occurs at a rate of approximately 30%. [3], [4], [5]

There is a lack of unanimity regarding the postnatal treatment approach for this condition, and various predictive and prognostic parameters have been developed to predict the severity, mortality, and optimal timing of surgical treatment. These parameters include the presence of polyhydramnios and congenital cardiac anomaly, birth weight, Apgar score, lung-head ratio, lung volumes, liver position, McGoon index, pulmonary artery index, PaO2 and PaCO2 levels, oxygenation index (OI), Score for Neonatal Acute Physiology-Perinatal Extension-II (SNAPPE-II), and diaphragm defect diameter. [6], [7], [8], [9], [10], [11]

OI and SNAPPE-II scores are commonly used to determine the severity of the hypoxic respiratory failure and are also indicators of postnatal cardiopulmonary function. In our study, we aimed to investigate the relationship between survival and OI values calculated in the first 12 hours of life in neonates with CDH.

Methods

This retrospective observational study included neonates with CDH born in Ankara City Hospital between September 2019 and November 2021. Patients with an antenatal diagnosis were intubated in the delivery room; patients not diagnosed antenatally were intubated immediately after diagnosis. The patients’ prenatal characteristics, and demographic, clinical, laboratory, and radiological data were obtained from the hospital information system. The study was approved by the local ethics committee (Ankara City Hospital Clinical Research Ethics Committee No. 2, date: 27.10.2021, ethics committee no: E2-21-973).

Pre-discharge survival was the primary study outcome. SNAPPE-II scores were calculated in the first 12 hours using mean blood pressure, body temperature, partial pressure of oxygen/ fraction of inspired oxygen (PaO2/FiO2) ratio, serum pH, urine output, Apgar score at 5 minutes, presence of seizures, birth weight, and small for gestational age (SGA) status.[12] Oxygenation index was monitored by attaching the arterial line to all patients. OI scores examined in the first two hours were calculated using the following formula: mean airway pressure (MAP) (cmH2O) × FiO2 × 100 / PaO2 (mmHg).

Patients diagnosed with CDH in our clinic were managed according to standardized postnatal management of CDH in Europe (CDH EURO consensus statement): planned and organized delivery of patients with CDH diagnosed antenatally; treatment adjusted to ensure preductal oxygen saturation (sPO2) of 80-95% and postductal sPO2 > 70%; target PaCO2 was set to 50-70 mmHg; and a lung protective ventilation strategy applied, with sildenafil and iNO therapies administered to patients with severe pulmonary hypertension (PH). [13]

Statistical analyses of the study were performed using IBM SPSS Statistics version 26.0 (IBM Corp, Armonk, NY). The Shapiro-Wilk test was used to determine whether the data were normally distributed. The Chi-square test was used to compare parametric variables, the Mann-Whitney U test was used for nonparametric variables, and Spearman’s test was used for correlation analysis. Receiver operating characteristic (ROC) curve analysis was performed to determine the cut-off values, sensitivity, and specificity of predictive parameters. The ANCOVA test was used for covariance analysis. Logistic regression analysis was performed to identify independent risk factors/predictors. An alpha level of 0.05 was used for all tests.

Results

Of the 30 patients included in the study, 14 (46%) died. Five of the non-surviving patients were not diagnosed antenatally. Birth weight, gestational age, mode of delivery, sex, and Apgar score at 1 minute did not differ significantly between surviving and non-surviving patients. Apgar score at 5 minutes was lower in nonsurvivors (p=0.010) (Table 1). Between the groups, there was no significant difference in laboratory parameters including arterial blood gasses, hemogram, and systemic inflammatory indexes (systemic immune-inflammatory index, platelet/lymphocyte ratio, neutrophil/lymphocyte ratio) (Table 1). One of the non-surviving patients (born at 31 weeks of gestation) had high interleukin-6 and C-reactive protein values; none of the other patients showed elevated acute phase reactant levels at admission. One patient with multiple anomalies and another with isolated aortic coarctation died. No major anomalies were detected in the other patients.

Between the groups, there was no difference in terms of pulmonary artery pressures measured in echocardiographic evaluation on the first postnatal day. HFO ventilation was more common in non-surviving patients (p<0.001) (Table. 1). Only one patient received ECMO because ventilation/perfusion could not be achieved and the OI value was >40. The patient died due to late neonatal septicemia and ECMO-related complications. The need for positive inotrope/vasopressor and pulmonary vasodilator therapy was more frequent in the non-surviving group (p=0.002 and p=0.006) (Table 1).

SNAPPE-II and OI differed significantly between the groups (p=0.002 and p=0.003, respectively) (Table 1).

The groups showed no significant differences in operative timing, frequency of right-sided CDH, or rates of stomach, liver, and spleen herniation (Table 1). Surviving patients were discharged on a median day 20 (range, 11-65) and non-surviving patients died on a median day 2 (range, 0-25).

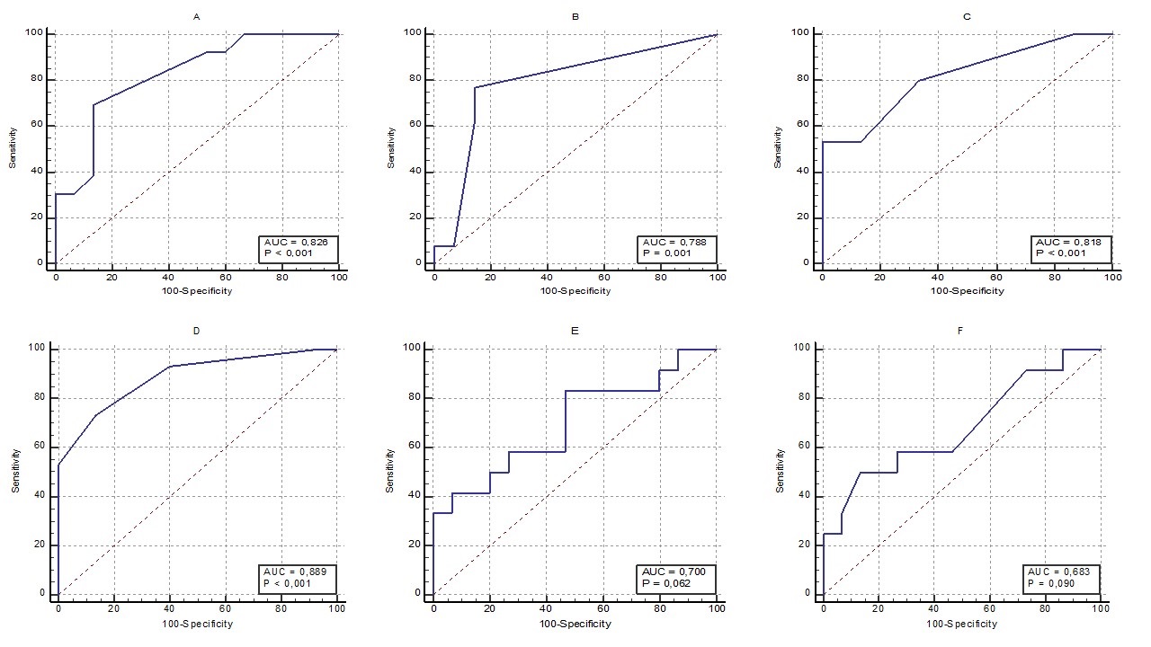
ROC analyses of parameters that may predict mortality (Apgar scores at 1 and 5 minutes, platelet count/plateletcrit, SNAPPE-II, and OI) are shown in Figure 1; area under the curve (AUC) values and 95% confidence intervals are shown in (Table 2). Cut-off values with optimal specificity and sensitivity in predicting mortality were determined to be <7 for the 5-minute Apgar score, ≤3.06×105/mL for platelet count, ≤0.2 for plateletcrit, >16 for SNAPPE-II, and >15 for OI (Table 2).

In covariance analysis, fixing OI, and adding 1st and 5th minute APGAR scores as covariates, there was no significance in predicting mortality (p=0.486 and p=0.058). APGAR score at 5 minutes was not included in the regression analysis because it is one of the SNAPPE-II scoring categories.

In the multivariate logistic regression analysis including platelet count, plateletcrit, SNAPPE-II, and OI, only OI was found to be an independent predictor of mortality (odds ratio: 4.519, CI: 1.301-654.645, p=0.034) (Table 3).

Discussion

The mortality rate in our study was 46%. With a mortality rate this high, numerous postnatal pediatric scores have been developed for patients with CDH [8], [14], [15], [16], [17]. Of these, APGAR scores, SNAPPE-II, and OI are frequently used. [9], [18], [19] The non-surviving CDH patients in our study had lower 5-minute APGAR scores and higher SNAPPE-II and OI values compared to surviving patients. According to the results of multivariate analysis, OI was an independent predictor of mortality. The results of our study indicate that OI is a reliable parameter for predicting survival, consistent with the literature. [8], [19], [20], [21]

CDH occurs during intrauterine life as a result of thoracic displacement of abdominal organs through a defect in the diaphragm. Reported mortality rates in live-born neonates with CDH vary between 10% and 35%. [1], [22] Chronic lung problems such as bronchopulmonary dysplasia, asthma, and recurrent lung infections are common morbidities in surviving infants with CDH. [3] Mortality in CDH has been associated with right-sided herniation, prenatal diagnosis, low 5-minute APGAR score, concomitant cardiac anomaly, chromosomal anomaly, and prematurity. [3], [5], [23] The non-surviving patients in our study had lower 5-minute APGAR scores than the surviving group, and five of them were not diagnosed antenatally.

Lung-protective ventilation, permissive hypercapnia, delayed surgery, and the use of ECMO have significantly increased survival rates. [24], [25], [26], [27] Disease severity is associated with pulmonary hypoplasia and secondary hypertension, and its pathophysiology is explained by pulmonary parenchymal and vascular hypoplasia. [28] Due to the high risk of barotrauma associated with the high pressures used in conventional ventilation, HFO ventilation is frequently used to overcome the reduced oxygenation resulting from secondary pulmonary hypertension. In our study, a higher proportion of non-surviving patients received HFO ventilation. Pulmonary vasodilators (sildenafil, iNO, inhaled prostacyclin) and inodilators (dobutamine, milrinone) are also commonly used in the management of CDH because of severe pulmonary hypertension. In particular, there are studies demonstrating that intravenous sildenafil and milrinone administered on the first day improve oxygenation. [29], [30] In our study, the use of pulmonary vasodilators was more common in non-surviving patients (p=0.006).

As persistent pulmonary hypertension (PPHN) and the resulting lung injury can be reversible in neonates with CDH, ECMO is now widely used as rescue therapy to support cardiopulmonary functions. This method requires a collaborative, multidisciplinary approach and clinical experience. [31], [32] In our study, only one patient underwent ECMO and bedside surgical repair, but later developed ECMO-related complications (septicemia, massive hemorrhage) and died within 3 weeks.

There is no clear consensus on the optimal timing of surgical repair in neonates with CDH. [33] Hollinger et al. reported that delaying surgical repair was associated with mortality. [34] However, Rozmiarek et al. observed no difference in mortality between infants who underwent surgical repair before and after 48 hours. [35] We also detected no significant difference in mortality rates according to the time of surgical repair in the patients included in our study.

Limitations of this study include the retrospective design, the small number of patients, and the lack of clinical experience in the administration of ECMO in our center. In our study compared to the literature, the higher mortality rate may be attributable to the low utilization of ECMO in our practice. It should be noted that respiratory support both in the delivery room and in the first hours of postnatal life may affect these results.

Conclusion

The oxygenation index was determined to be an independent predictive parameter in mortality (OR: 4.519 CI: 1.301-654.645, p=0.034). The results of our study show that the oxygenation index is a reliable parameter in predicting survival. Antenatal strict follow-up, intrauterine interventions, and postnatal early stabilization enable the follow-up of these patients to be safer. CDH requires a multidisciplinary approach, and we believe survival rates may be improved by developing new scoring systems using prenatal and postnatal parameters, clarifying optimal surgical timing, and making ECMO criteria more moderate.


Figures

Figure 1 

ROC curves: A, SNAPPE-II, B, OI, C, 1st minute APGAR score, D, 5th minute APGAR score, E, platelet, F, plateletcrit.



Tables
[TableWrap ID: t1] Table 1 

Characteristics of patients with CDH


Survivors (n:16) Non-survivors (n:14) P value
Demographics - - -
Gestation age, mean (±SD) 37.3±2.6 36.3±3.7 0.391
Birth weight, gr, mean (±SD) 3028±717 2659±846 0.207
Male gender, n, (%) 8 (50) 11 (78.6) 0.246
Cesarean section, n (%) 13 (81.3) 11 (78.6) 0.865
APGAR 1st. minute median, (IQR) 6 (4-7) 4 (1-6) 0.000
APGAR 5th minute median, (IQR) 8 (6-9) 6 (0-8) 0.000
Laboratory results
pH, mean, (±SD) 7.1±0.1 7.1±0.1 0.513
pCO2, mmHg, mean, (±SD) 63±21 71±32 0.485
HCO3-, mmol/L, mean, (±SD) 20.8±2.8 20.1±2.8 0.677
BE, mmol/L, mean, (±SD) -8.1±4.9 -9.7±6.0 0.459
Lactat, mmol/L, mean, (±SD) 3.6±1.9 4.6±2.2 0.208
WBC, (x109/L), mean, (±SD) 17.891±6.060 13.530±5.787 0.073
NEU, (x109/L), mean, (±SD) 9.446±3.752 7.304±4.584 0.195
LYM, (x109/L), mean, (±SD) 6.089±2.989 4.484±2.369 0.150
MON, (x109/L), mean, (±SD) 1.261±600 927±436 0.128
HGB, g/dL, mean, (±SD) 16.2±1.8 16.8±2.0 0.433
HCT, %, mean, (±SD) 51.2±5.7 53.4±8.3 0.420
RDW, %, mean, (±SD) 17.3±1.0 17.3±1.0 0.990
MPV, fL, mean, (±SD) 8.5±0.7 8.7±0.8 0.528
PLT, (x109/L), mean, (±SD) 299.500±51.480 228.000±88.913 0.014
PCT, %, mean, (±SD) 0.25±0.04 0.20±0.07 0.022
NRBC, (x109/L), mean, (±SD) 1.2±0.8 5.2±14.0 0.266
DNI, %, mean, (±SD) 3.6±4.0 5.3±7.9 0.473
LUC,%, mean, (±SD) 0.48±0.30 0.34±0.38 0.323
NLR, mean, (±SD) 2.0±1.7 2.0±1.8 0.983
MLR, mean, (±SD) 0.27±0.25 0.24±0.14 0.803
SII, mean, (±SD) 581±471 532±593 0.812
Hemodynamics - - -
HFOV, n (%) 5 (33.3) 15 (100) 0.000
ECMO, n (%) 0 (0) 1 (7.1) NS*
PAP/RVSP, mmHg, mean, (±SD) 41.2±7.8 50.8±20.5 0.098
OI Score, median, (IQR) 15 (5-32) 30 (15-50) 0.002
SNAPPE-II Score, median, (IQR) 16 (0-30) 18 (7-35) 0.003
Vasopressor use, n (%) 7 (46.7) 13 (100) 0.002
Dopamine, n (%) 5/15 (33.3) 12/12 (100) 0.000
Dobutamine, n (%) 1/15 (6.7) 5/12 (41.7) 0.030
Adrenaline, n (%) 2/15 (13.3) 10/12 (83.3) 0.000
Norepinephrine, n (%) 1/16 (6.3) 0/14 (0) NS*
Milrinone, n (%) 2/15 (13.3) 4/12 (33.3) 0.214
Terlipressin, n (%) 3/15 (20) 5/12 (44.4) 0.221
Pulmoner vasodilator use, n (%) 5 (33.3) 11 (84.6) 0.006
iNO, n (%) 3/15 (20) 9/12 (75) 0.004
Sildenafil, n (%) 2/15 (13.3) 3/12 (25) 0.438
Prostacyclin, n (%) 2/15 (13.3) 2/12 (16.7) 0.809
Hydrocortisone, n (%) 0/15 (0) 1/12 (8.3) NS*
Clinical data - - -
Gastric Herniation, n (%) 6/16 (37.5) 8/12 (66.7) 0.127
Liver Herniation, n (%) 1/16 (6.3) 2/12 (16.7) 0.378
Spleen Herniation, n (%) 2/16 (12.5) 2/12 (16.7) 0.755
Right sided Diaphragmatic Hernia, n (%) 2/16 (12.5) 4/12 (33.3) 0.184
Operated, n (%) 16/16 (100) 3/14 (21.4) 0.000
Operation day, median, (IQR) 3 (2-34) 3 (2-3) 0.481
Discharge/Death time, day, median, (IQR) 20 (11-65) 2 (0-25) 0.000

SD: standard deviation, IQR: interquartile range, WBC: white blood count, NEU: neutrophil, LYM: lymphocyte, HGB: hemoglobin, HCT: hematocrit, RDW: Red cell distribution width, MPV: Mean platelet volume, PLT: platelet, PCT: plateletcrit, NRBC: nucleated red blood cells, LUC: large unstained cells, PLR: Platelet/lymphocyte ratio, NLR: neutrophil/lymphocyte ratio, MLR: monocyte/lymphocyte ratio, SII: systemic immune-inflammation index, HFOV: high-frequency oscillatory ventilation, ECMO: extracorporeal membrane oxygenation, PAP: pulmonary artery pressure, RVSP: right ventricular systolic pressure, OI: oxygenation index, SNAPPE-II: Score for Neonatal Acute Physiology-Perinatal Extension-II


[TableWrap ID: t2] Table 2 

Factors Predicting mortality in CDH newborns


Factor Cutoff AUC CI (95%) Sensitivity,% Specificity,% P value
SNAPPE-II >16 0.826 0.636-0.942 69.2 86.6 <0.001
OI >15 0.788 0.589-0.921 76.9 85.7 =0.001
APGAR score 1st minute <4 0.853 0.676-0.955 57.1 100 <0.001
APGAR score 5th minute <7 0.933 0.779-0.992 78.5 87.5 <0.001
PLT, (x109/L) 0.767 0.566-0.907 90.9 56.2 =0.005
PCT, % 0.750 0.547-0.895 54.5 87.5 =0.010

AUC: area under the curve, CI: confidence interval, SNAPPE-II: Score for Neonatal Acute Physiology-Perinatal Extension-II, OI: oxygenation index, PLT: platelet, PCT: plateletcrit


[TableWrap ID: t3] Table 3 

Multivariate logistic regression analysis of parameters in CDH patients


Factor Cutoff OR CI (95 %) P value
- - - lower upper -
SNAPPE-II >16 3.629 0.902 1428.089 0.057
OI >15 4.519 1.301 654.645 0.034
PLT, (x109/L) 1.865 0.363 289.111 0.172
PCT, % 0.002 0.021 58.244 0.960

OR: Odds ratio, CI: confidence interval, SNAPPE-II: Score for Neonatal Acute Physiology-Perinatal Extension-II, OI: oxygenation index, PLT: platelet, PCT: plateletcrit



Notes

SD: standard deviation, IQR: interquartile range, WBC: white blood count, NEU: neutrophil, LYM: lymphocyte, HGB: hemoglobin, HCT: hematocrit, RDW: Red cell distribution width, MPV: Mean platelet volume, PLT: platelet, PCT: plateletcrit, NRBC: nucleated red blood cells, LUC: large unstained cells, PLR: Platelet/lymphocyte ratio, NLR: neutrophil/lymphocyte ratio, MLR: monocyte/lymphocyte ratio, SII: systemic immune-inflammation index, HFOV: high-frequency oscillatory ventilation, ECMO: extracorporeal membrane oxygenation, PAP: pulmonary artery pressure, RVSP: right ventricular systolic pressure, OI: oxygenation index, SNAPPE-II: Score for Neonatal Acute Physiology-Perinatal Extension-II


AUC: area under the curve, CI: confidence interval, SNAPPE-II: Score for Neonatal Acute Physiology-Perinatal Extension-II, OI: oxygenation index, PLT: platelet, PCT: plateletcrit


OR: Odds ratio, CI: confidence interval, SNAPPE-II: Score for Neonatal Acute Physiology-Perinatal Extension-II, OI: oxygenation index, PLT: platelet, PCT: plateletcrit


n1Conflicts of interest. None.

n2Source of Support: Nil

n3Author contributions: Author(s) declared to fulfill authorship criteria as devised by ICMJE and approved the final version. Authorship declaration form, submitted by the author(s), is available with the editorial office.

n4Consent to Publication: No clinical figure is being used in this manuscript.

Acknowledgments

Nil


References
1. Lally KP. Congenital diaphragmatic hernia. Current Opin Pediatr. 2002; 14:486-90.
2. Langham MR, Jr, Kays DW, Ledbetter DJ, Frentzen B, Sanford LL, Richards DS. Congenital diaphragmatic hernia. Epidemiology and outcome. Clin Perinatol. 1996; 23:671-88.
3. Van den Hout L, Reiss I, Felix JF, Hop WC, Lally PA, Lally KP, et al. Risk factors for chronic lung disease and mortality in newborns with congenital diaphragmatic hernia. Neonatol. 2010; 98:370-80.
4. Skari H, Bjornland K, Haugen G, Egeland T, Emblem R. Congenital diaphragmatic hernia: a meta-analysis of mortality factors. J Pediatr Surg. 2000; 35:1187-97.
5. Stege G, Fenton A, Jaffray B. Nihilism in the 1990s: the true mortality of congenital diaphragmatic hernia. Pediatr. 2003; 112:532-5.
6. Reiss I, Schaible T, van den Hout L, Capolupo I, Allegaert K, van Heijst A, et al. Standardized postnatal management of infants with congenital diaphragmatic hernia in Europe: the CDH EURO Consortium consensus. Neonatol. 2010; 98:354-64.
7. Vuletin JF, Lim FY, Cnota J, Kline-Fath B, Salisbury S, Haberman B, et al. Prenatal pulmonary hypertension index: a novel prenatal predictor of severe postnatal pulmonary artery hypertension in the antenatally diagnosed congenital diaphragmatic hernia. J Pediatr Surg. 2010; 45:703-8.
8. Ruttenstock E, Wright N, Barrena S, Krickhahn A, Castellani C, Desai AP, et al. Best oxygenation index on day 1: a reliable marker for outcome and survival in infants with congenital diaphragmatic hernia. Eur J Pediatr Surg. 2015; 25:3-8
9. Mann PC, Morris FH, Jr, Klein JM. Prediction of survival in infants with congenital diaphragmatic hernia based on stomach position, surgical timing, and oxygenation index. Am J Perinatol. 2012; 29:383-90.
10. Jani J, Nicolaides KH, Keller RL, Benachi A, Peralta CF, Favre R, et al. Observed to expected lung area to head circumference ratio in the prediction of survival in fetuses with isolated diaphragmatic hernia. Ultrasound Obstet Gynecol. 2007; 30:67-71.
11. Lally KP, Lasky RE, Lally PA, Bagolan P, Davis CF, Frenckner BP, et al. Standardized reporting for congenital diaphragmatic hernia--an international consensus. J Pediatr Surg. 2013; 48:2408-15.
12. Richardson DK, Corcoran JD, Escobar GJ, Lee SK. SNAP-II and SNAPPE-II: Simplified newborn illness severity and mortality risk scores. J Pediatr. 2001; 138:92-100.
13. Snoek KG, Reiss IK, Greenough A, Capolupo I, Urlesberger B, Wessel L, et al. Standardized postnatal management of infants with congenital diaphragmatic hernia in Europe: The CDH EURO Consortium Consensus - 2015 Update. Neonatol. 2016; 110:66-74.
14. Gentili A, Pasini L, Iannella E, Landuzzi V, Lima M, Bacchi Reggiani ML, et al. Predictive outcome indexes in neonatal congenital diaphragmatic hernia. J Matern Fetal Neonatal Med. 2015; 28:1602-7.
15. Chiu LW, Desai J, Shanti C, Rane S, Agarwal P, Thomas RL, et al. SNAPPE II score as a predictor of survival in neonates with congenital diaphragmatic hernia: A single center experience. Eur J Pediatr Surg. 2016; 26:316-21.
16. Jancelewicz T, Brindle ME. Prediction tools in congenital diaphragmatic hernia. Semin Perinatol. 2020; 44:151165.
17. Le LD, Keswani SG, Biesiada J, Lim FY, Kingma PS, Haberman BE, et al. The congenital diaphragmatic hernia composite prognostic index correlates with survival in left-sided congenital diaphragmatic hernia. J Pediatr Surg. 2012; 47:57-62.
18. Bruns AS, Lau PE, Dhillon GS, Hagan J, Kailin JA, Mallory GB, et al. Predictive value of oxygenation index for outcomes in left-sided congenital diaphragmatic hernia. J Pediatr Surg. 2018; 53:1675-80.
19. Salas GL, Otaño JC, Cannizzaro CM, Mazzucchelli MT, Goldsmit GS. Congenital diaphragmatic hernia: postnatal predictors of mortality. Archivos Argentinos de Pediatría. 2020; 118:173-9.
20. Tan YW, Ali K, Andradi G, Sasidharan L, Greenough A, Davenport M. Prognostic value of the oxygenation index to predict survival and timing of surgery in infants with congenital diaphragmatic hernia. J Pediatr Surg. 2019; 54:1567-72.
21. Tan YW, Adamson L, Forster C, Davies B, Sharkey D. Using serial oxygenation index as an objective predictor of survival for antenatally diagnosed congenital diaphragmatic hernia. J Pediatr Surg. 2012; 47:1984-9.
22. Reyes C, Chang LK, Waffarn F, Mir H, Warden MJ, Sills J. Delayed repair of congenital diaphragmatic hernia with early high-frequency oscillatory ventilation during preoperative stabilization. J Pediatr Surg. 1998; 33:1010-4.
23. Oh C, Youn JK, Han JW, Yang HB, Lee S, Seo JM, et al. Predicting survival of congenital diaphragmatic hernia on the first day of life. World J Surg. 2019; 43:282-90.
24. Frenckner B, Ehrén H, Granholm T, Lindén V, Palmér K. Improved results in patients who have congenital diaphragmatic hernia using preoperative stabilization, extracorporeal membrane oxygenation, and delayed surgery. J Pediatr Surg. 1997; 32:1185-9.
25. Downard CD, Jaksic T, Garza JJ, Dzakovic A, Nemes L, Jennings RW, et al. Analysis of an improved survival rate for congenital diaphragmatic hernia. J Pediatr Surg. 2003; 38:729-32.
26. Muratore CS, Kharasch V, Lund DP, Sheils C, Friedman S, Brown C, et al. Pulmonary morbidity in 100 survivors of congenital diaphragmatic hernia monitored in a multidisciplinary clinic. J Pediatr Surg. 2001; 36:133-40.
27. Guidry CA, Hranjec T, Rodgers BM, Kane B, McGahren ED. Permissive hypercapnia in the management of congenital diaphragmatic hernia: our institutional experience. J Am Coll Surg. 2012; 214:640-5.
28. Harting MT. Congenital diaphragmatic hernia-associated pulmonary hypertension. Semin Pediatr Surg. 2017; 26:147-53.
29. Lakshminrusimha S, Keszler M, Kirpalani H, Van Meurs K, Chess P, Ambalavanan N, et al. Milrinone in congenital diaphragmatic hernia - a randomized pilot trial: study protocol, review of literature and survey of current practices. Matern Heal, Neonatol Perinatol. 2017; 3:27.
30. Kipfmueller F, Schroeder L, Berg C, Heindel K, Bartmann P, Mueller A. Continuous intravenous sildenafil as an early treatment in neonates with congenital diaphragmatic hernia. Pediatr Pulmonol. 2018; 53:452-60.
31. Yu PT, Jen HC, Rice-Townsend S, Guner YS. The role of ECMO in the management of congenital diaphragmatic hernia. Semin Perinatol. 2020; 44:151166.
32. Guner Y, Jancelewicz T, Di Nardo M, Yu P, Brindle M, Vogel AM, et al. Management of congenital diaphragmatic hernia treated with extracorporeal life support: Interim guidelines consensus statement from the Extracorporeal Life Support Organization. ASAIO J. 2021; 67:113-20.
33. Moyer V, Moya F, Tibboel R, Losty P, Nagaya M, Lally KP. Late versus early surgical correction for congenital diaphragmatic hernia in newborn infants. Cochrane Database Syst Rev. 2002:Cd001695.
34. Hollinger LE, Lally PA, Tsao K, Wray CJ, Lally KP. A risk-stratified analysis of delayed congenital diaphragmatic hernia repair: does timing of operation matter? Surg. 2014; 156:475-82.
35. Rozmiarek AJ, Qureshi FG, Cassidy L, Ford HR, Hackam DJ. Factors influencing survival in newborns with congenital diaphragmatic hernia: the relative role of timing of surgery. J Pediatr Surg. 2004; 39:821-4.